2019考研:高数重点题型之导数与微分法
2018/4/10 16:03:58
来源: 本站
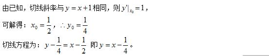
一元函数的导数与微分是微积分的基础,经常出选择题与填空题,可作为求极限、求驻点、求拐点、求多元函数的偏导数与全微分等问题的基础。重点掌握分段函数的导数、隐函数的导数、参数(极坐标)方程确定的函数的导数。变动上限的积分表示的函数的导数每年都考。下面海天考研老师带领大家一起来看导数与微分法的题型和解法:




热门推荐



