2019考研:高数重点题型之无穷小与函数的连续性
2018/4/10 16:10:11
来源: 本站
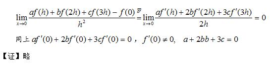
海天考研老师介绍,无穷小量、函数的连续性、间断点的判定等问题的实质是极限问题,理解这些问题的概念,熟练运用求极限的方法是解决这类问题的关键。下面我们来看无穷小与函数的连续性的解题法:











热门推荐



